Advanced Algorithms UE 4
ex4_Maarten_Behn-0.pdf
Fehler
4.1
Size enthält daher ist das erste beispiel schon exponentiell.
4.3
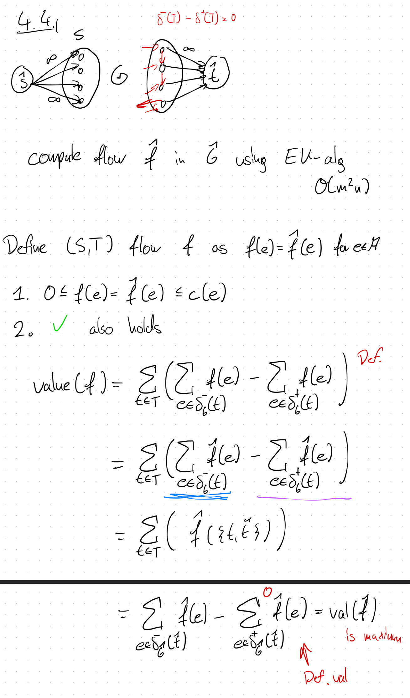
Define




Advanced Algorithms UE 4
ex4_Maarten_Behn-0.pdf
Size enthält daher ist das erste beispiel schon exponentiell.
Define



