Quartz 4

Home

❯

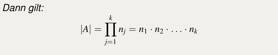
Multiplikationsregel

Multiplikationsregel

Feb 07, 20260 min read

  • uni/Mat3



Graph View

Backlinks

  • Kombinatorik

Created with Quartz v4.5.1 © 2026

  • GitHub
  • Discord Community