Quartz 4

Home

❯

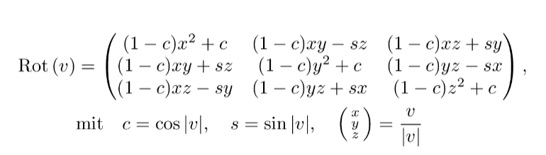
Rodriguez Formel

Rodriguez-Formel

  • uni/sensor_daten


Graph View

Backlinks

  • Pose

Created with Quartz v4.5.1 © 2026

  • GitHub
  • Discord Community