Quartz 4

Home

❯

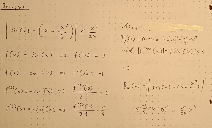
Taylor Ungleichung

Taylor Ungleichung

Feb 07, 20261 min read

  • uni/Mat2

Dreiecksgleiching


Graph View

Backlinks

  • Mat2 MOC

Created with Quartz v4.5.1 © 2026

  • GitHub
  • Discord Community