Quartz 4

Home

❯

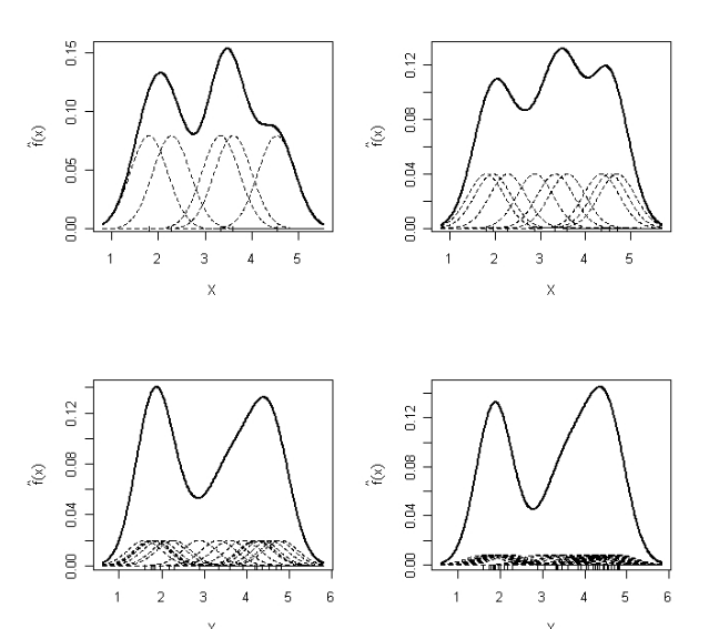
Univariater Kerndichteschätzer

Univariater Kerndichteschätzer

Dec 06, 20250 min read

  • uni/Mat3


Graph View

Backlinks

  • Kernfunktionen

Created with Quartz v4.5.1 © 2025

  • GitHub
  • Discord Community